近期要闻

《自然》 | SHMFF用户在无限层镍氧化物中发现新奇强磁场重入超导态

来源: 时间:2026-04-25 作者:孟文杰

近日,稳态强磁场实验装置(SHMFF)用户香港城市大学李丹枫副教授团队与南方科技大学薛其坤院士、陈卓昱副教授等团队合作,利用SHMFF混合磁体极低温电输运测试系统,在铕(Eu)掺杂的无限层镍氧化物薄膜(Sm0.95-xCa0.05EuxNiO2)中,首次观测到由强磁场诱导的重入超导(Re-entrant superconductivity)现象,为探索强关联氧化物中的非常规配对机制提供了全新的实验平台。相关成果以“Field re-entrant superconductivity in Eu-doped infinite-layer nickelates”为题,以加速预览(Accelerated Article Preview)形式在线发表于国际顶尖学术期刊《自然》(Nature)。

在凝聚态物理中,外加磁场通常会通过轨道效应和泡利顺磁效应破坏超导电子对,进而抑制超导电性。然而,在含有局域磁矩的极少数重费米子等关联体系中,强磁场可诱导已被抑制的超导相重新出现,即发生“重入超导”现象。探索局域磁矩与巡游电子的相互作用,是理解非常规超导物理机制的重要途径。

此前,联合研究团队依托SHMFF在Sm基无限层镍氧化物的物性调控方面已取得重要进展,相关成果发表于《自然·通讯》(Nature Communications)。前期研究表明,通过优化Sm基无限层镍氧化物超导薄膜的制备,可获得较小的c轴晶格常数,并将超导转变温度提升至32.5 K,同时揭示了体系特有的二维与三维混合超导维度特征。此外,研究发现引入具备大局域磁矩的Eu离子后,不仅促使超导电性向三维演化,还在正常态引发了明显的负磁阻效应。这一现象证实了Eu离子的局域磁矩与Ni 3d巡游电子之间存在显著耦合,为进一步探究极端磁场条件下的物态演化奠定了实验基础。

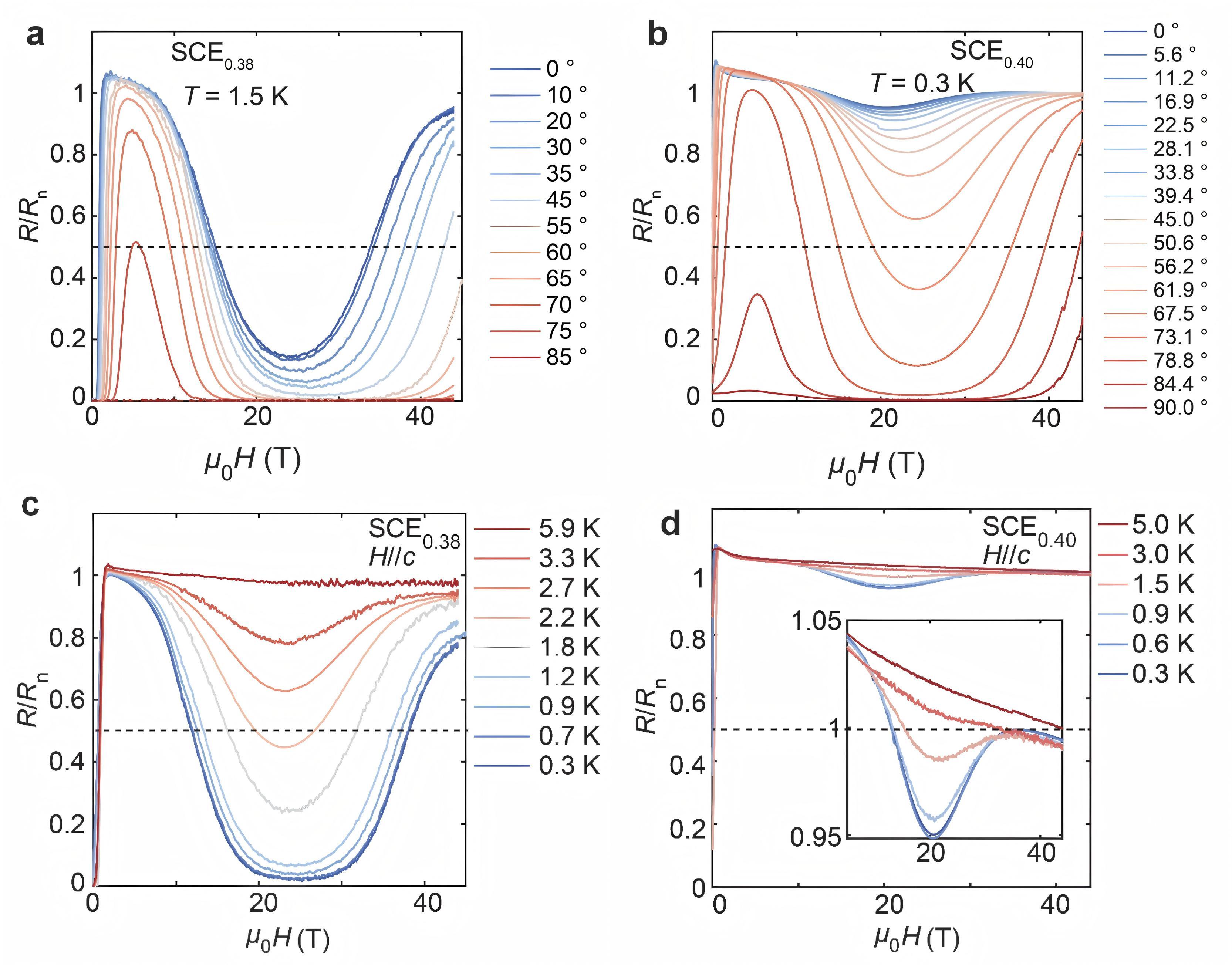
在此次研究中,团队通过精细调控Eu的掺杂浓度,在过掺杂区域的薄膜样品中观测到了反常的磁电阻输运行为。利用SHMFF的混合磁体提供的45 T稳态强磁场与极低温测试环境,实验发现:随着外加磁场增强,样品的初始低场超导态首先被抑制并进入正常态;当磁场继续增加至特定临界值时,系统发生了“超导-正常态-超导”的转变,重新进入零电阻态(见图1)。结合强磁场下的互感测量,研究人员清晰观测到了强磁场下抗磁屏蔽响应,实验确证了高场重入超导相的客观存在。这是首次在具有较高转变温度的无限层镍氧化物体系中观测到重入超导现象,将无限层镍氧化物打造为融合高温超导与重费米子超导概念的独特材料体系,为强关联材料中新奇量子物态的设计与调控开辟全新路径。

进一步的连续变角磁电阻测试显示,该体系的高场重入超导相表现出显著的角度稳定性,在磁场方向偏离薄膜法线0°至90°的完整区间内均能稳定存在。特别是在高掺杂浓度下,高场超导态较初始低场超导态更为稳固(图2)。这一宽角度特征表明,基于内部交换磁场抵消外加磁场的经典Jaccarino-Peter(J-P)补偿机制已不足以完全解释其物理图像,暗示体系中可能存在由磁关联诱导的非常规超导配对机制。此外,正常态输运测量表明,过掺杂样品的霍尔电阻呈现非线性特征并在强场下趋于饱和,同时低场磁电阻曲线表现出明显的磁滞现象。综合实验结果表明,Eu2+的局域磁矩可能通过自旋-轨道耦合诱导出复杂的磁性关联,并与传导电子发生非平凡的相互作用,进而深刻影响了体系的超导相图。

本研究的核心实验依托我国稳态、脉冲两大强磁场国家重大科技基础设施完成:SHMFF凭借高稳定度强磁场、极低温,以及高精度原位连续变角度能力,搭配近二十种科学实验测试系统,为材料宏观与微观综合物性表征提供关键支撑;脉冲强磁场装置提供的超高瞬态磁场,为探明该超导态的高场响应边界打开了探测窗口。两大国家大科学装置通过稳态精度与脉冲场强的优势互补,构建了覆盖从精细物理表征到极限物性探测的完备实验体系,为系统揭示极端条件下的新奇量子现象提供了坚实的支撑。

香港城市大学博士后杨明卫、汤家音,南方科技大学博士生吴显峰为论文共同第一作者。香港城市大学副教授李丹枫、南方科技大学副教授/粤港澳大湾区量子科学中心双聘研究员陈卓昱和粤港澳大湾区量子科学中心汪恒副研究员为论文共同通讯作者。论文作者还包括中国科学院合肥物质科学研究院陆轻铀教授、匡光力研究员,华中科技大学国家脉冲强磁场科学中心李亮研究员,波士顿学院汪自强教授等。薛其坤院士对论文作出了重要贡献。该研究得到了国家自然科学基金、国家重点研发计划、广东省相关研究基金、中国香港特别行政区研究资助局、深圳市研究基金、美国能源部基础能源科学项目等项目的支持。

论文链接:

https://www.nature.com/articles/s41586-026-10547-y

https://www.nature.com/articles/s41467-026-69650-3

图1. 45T混合磁体极低温旋转电输运测试结果:Eu高掺杂比例SCE0.38和SCE0.40,在低至0.3 K极低温、不同磁场角度下的归一化电阻变化曲线。

图2.展示超导重入态的过掺杂SCEx(x=0.30、0.33、0.36、0.38、0.40)样品以及唯象拟合参数随掺杂浓度的依赖关系,SCE0.40高掺杂样品展现出了经典 Jaccarino-Peter (J-P) 补偿机制失效的物理特征,表明该组分可能存在额外物理机制。

图3. Sm0.95-xCa0.05EuxNiO2的Eu掺杂完整相图。

附件下载: